Retour
  • Mathématiques (BIOF)
  • Accueil
  • !
  • Connexion
  • ar عربية
  • en English
  • Retour au Cours
  • Retour à la section
  • Signaler une erreur
  • 10 avril 2021

Les limites d’une fonction - Corrigé série d'exercices (FR)

  1. Mathématiques 1er BAC Sciences Expérimentales BIOF
  2. Les limites d’une fonction
  3. Les limites d’une fonction - Corrigé série d'exercices (FR)
Téléchargez le document
Retour
Maroc
  • Primaire
  • Collège
  • Lycée
France
  • Primaire
  • Collège
  • Lycée
Plus
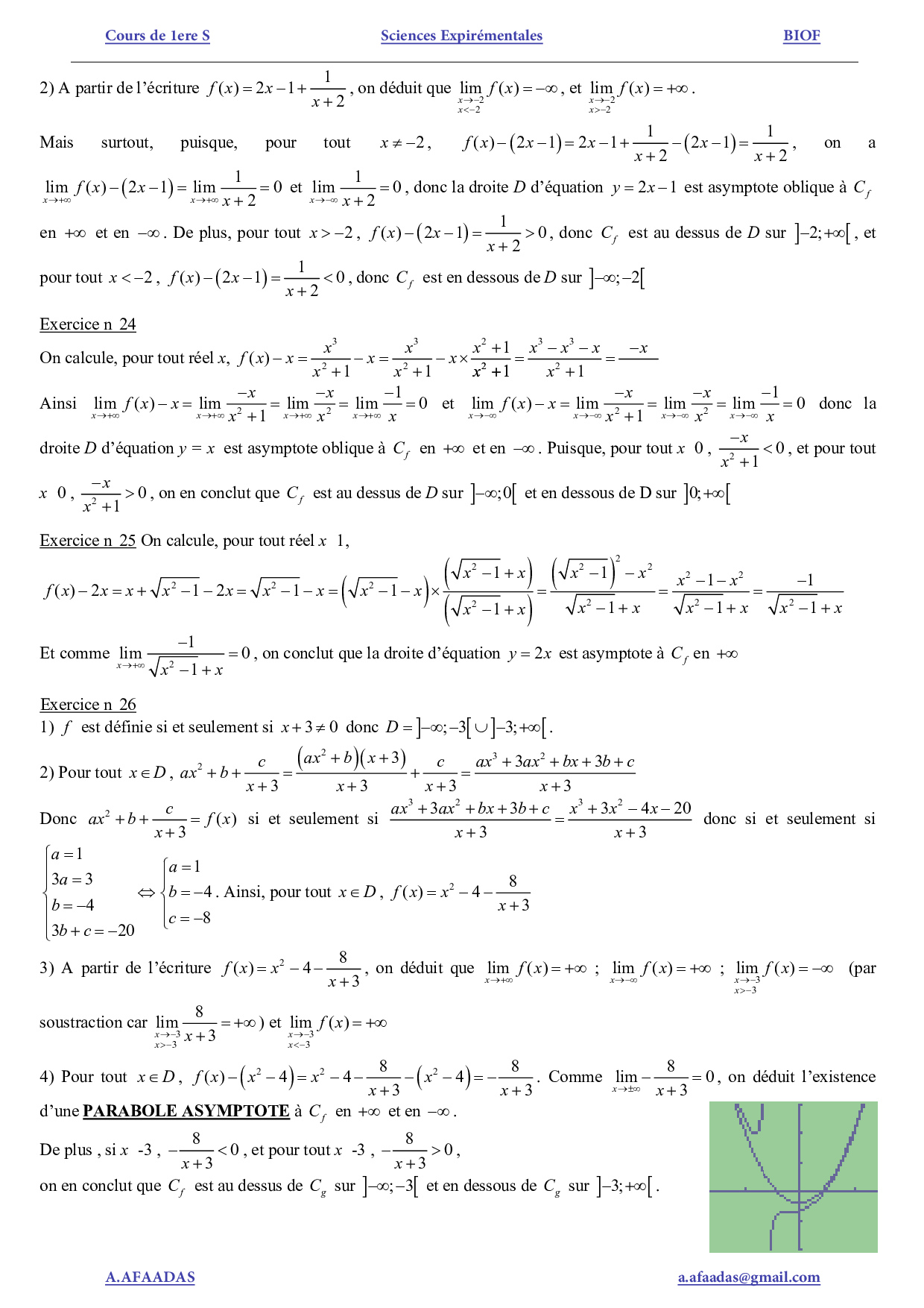
  • Prépas CPGE
  • Divertissement
  • Vocabulaire
  • Connexion
  • S'inscrire
  • CGU
  • CGV
  • Contact

© 2026 AlloSchool. Tous droits réservés.

Rechercher