Retour
  • Anglais
  • Accueil
  • !
  • Connexion
  • ar عربية
  • en English
  • Retour au Cours
  • Retour à la section
  • Signaler une erreur
  • 27 novembre 2019

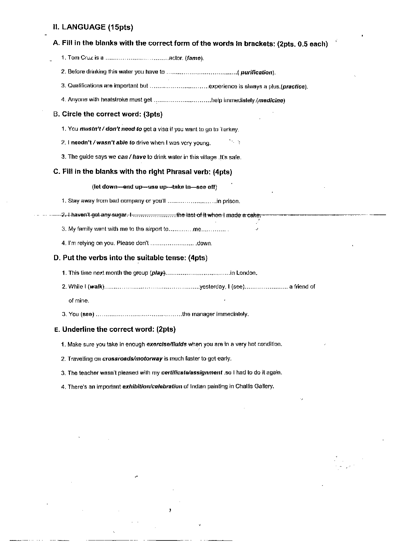
Test 3 Model 3 - English 1st Bac First term

  1. Anglais: 1er BAC Sciences Expérimentales
  2. First term english tests
  3. Test 3 Model 3 - English 1st Bac First term
Téléchargez le document
Retour
Maroc
  • Primaire
  • Collège
  • Lycée
France
  • Primaire
  • Collège
  • Lycée
Plus
  • Prépas CPGE
  • Divertissement
  • Vocabulaire
  • Connexion
  • S'inscrire
  • CGU
  • CGV
  • Contact

© 2026 AlloSchool. Tous droits réservés.

Rechercher