Retour
  • ENAM (École Nationale d'Agriculture de Meknès)
  • Accueil
  • !
  • Connexion
  • ar عربية
  • en English
  • Retour au Cours
  • Retour à la section
  • Signaler une erreur
  • 30 juin 2019

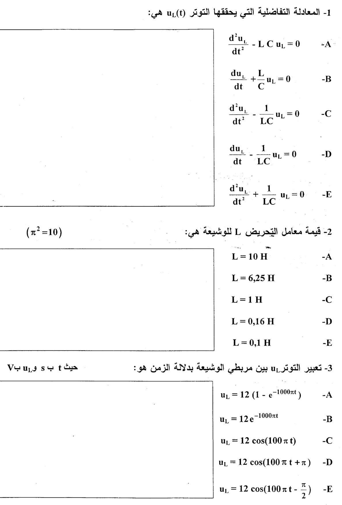
مباراة ولوج المدرسة الوطنية للفلاحة بمكناس 2009 - الفيزياء والكيمياء

  1. مباريات ولوج المدرسة الوطنية للفلاحة بمكناس (ENAM)
  2. 2009
  3. مباراة ولوج المدرسة الوطنية للفلاحة بمكناس 2009 - الفيزياء والكيمياء
Téléchargez le document
Retour
Maroc
  • Primaire
  • Collège
  • Lycée
France
  • Primaire
  • Collège
  • Lycée
Plus
  • Prépas CPGE
  • Divertissement
  • Vocabulaire
  • Connexion
  • S'inscrire
  • CGU
  • CGV
  • Contact

© 2025 AlloSchool. Tous droits réservés.

Rechercher