Retour
  • ISCAE (Institut Supérieur de Commerce et d'Administration des Entreprises)
  • Accueil
  • !
  • Connexion
  • ar عربية
  • en English
  • Retour au Cours
  • Retour à la section
  • Signaler une erreur
  • 01 avril 2021

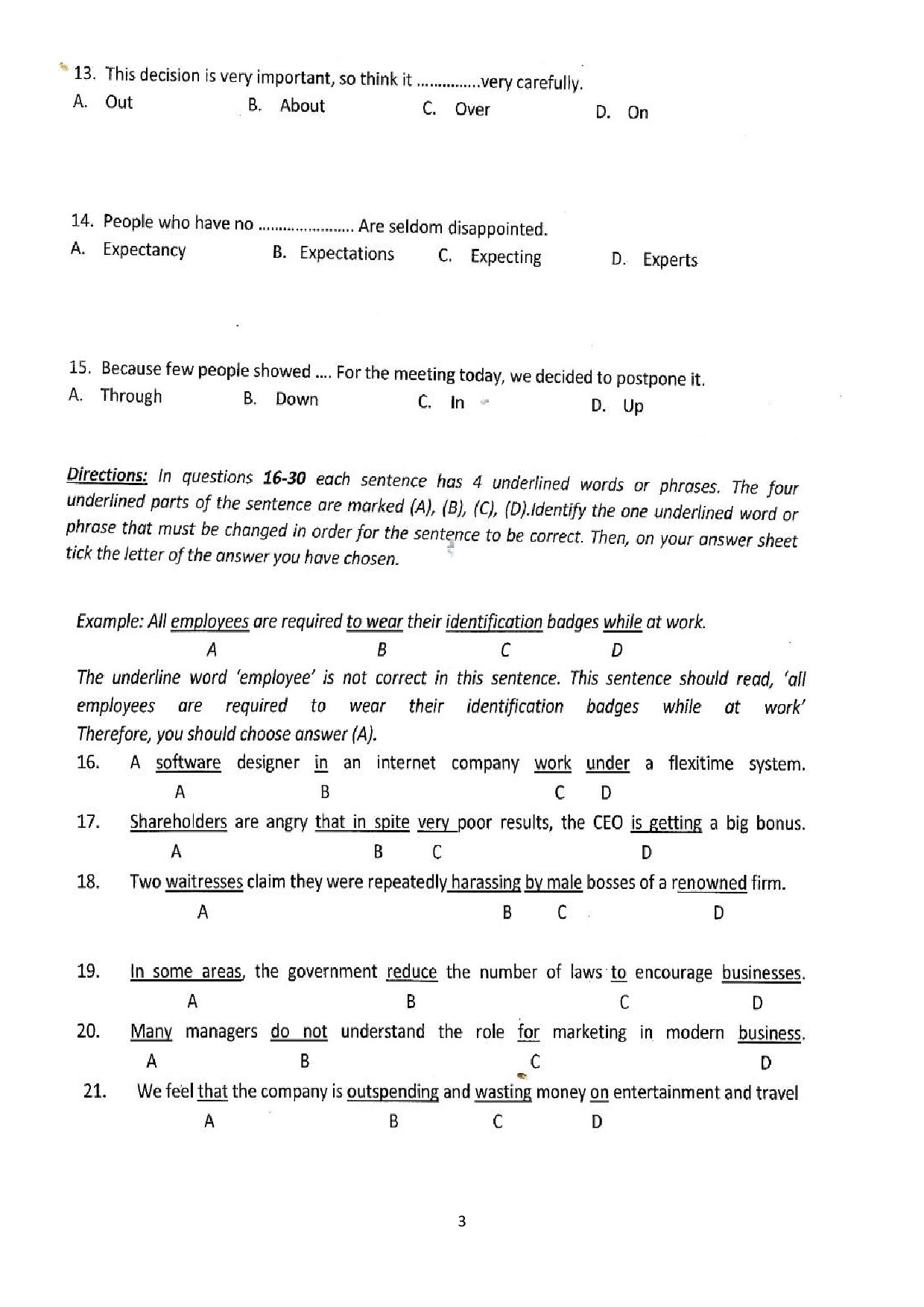
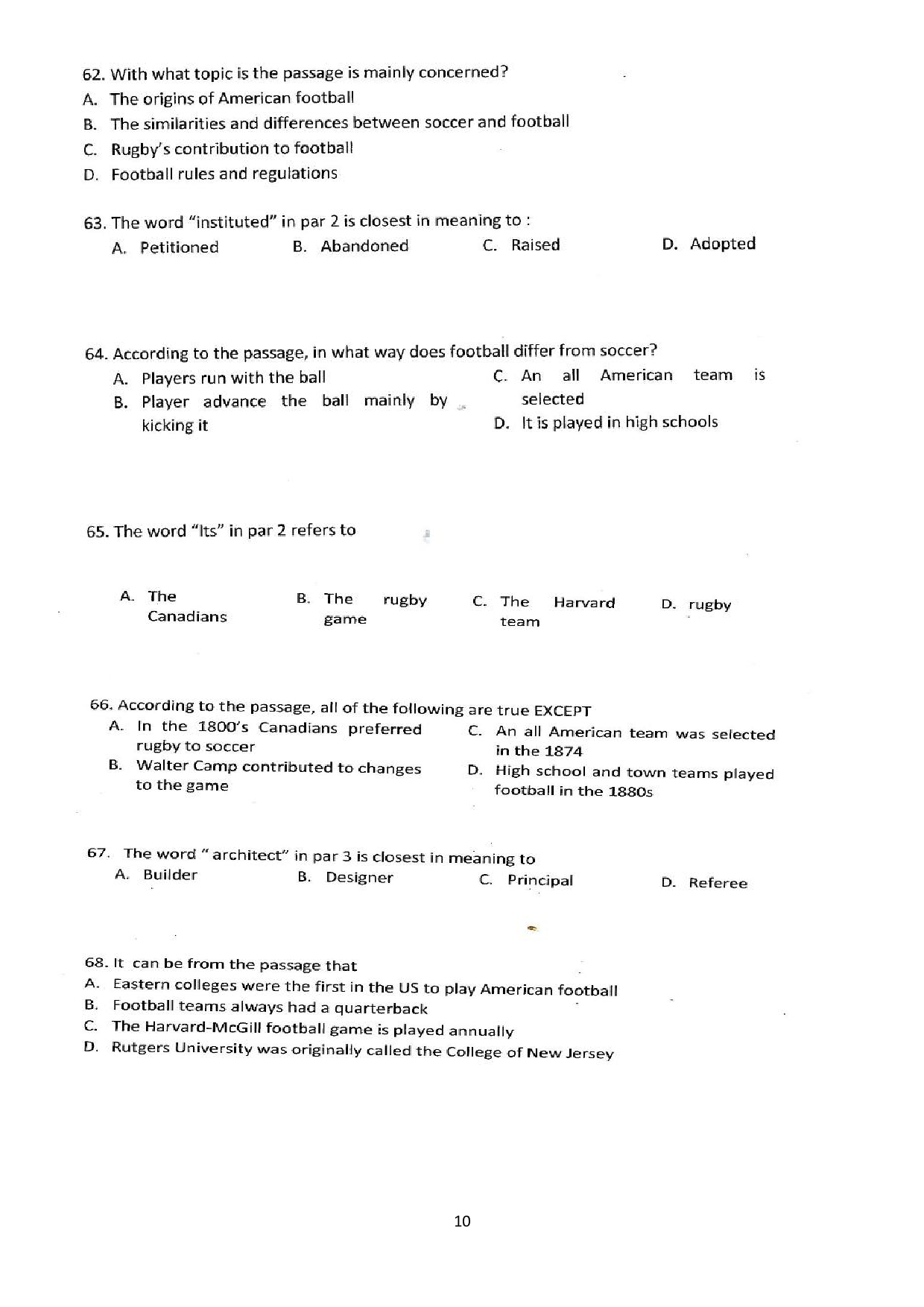
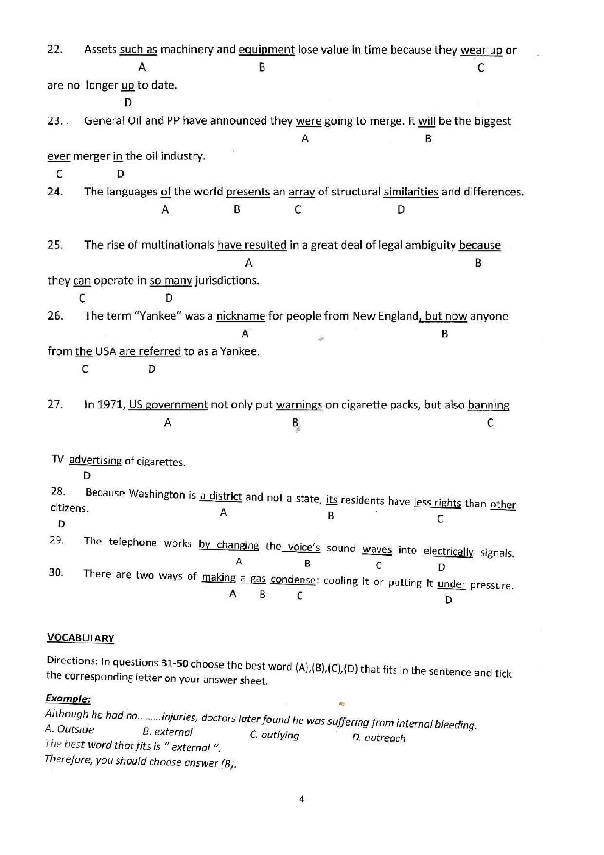
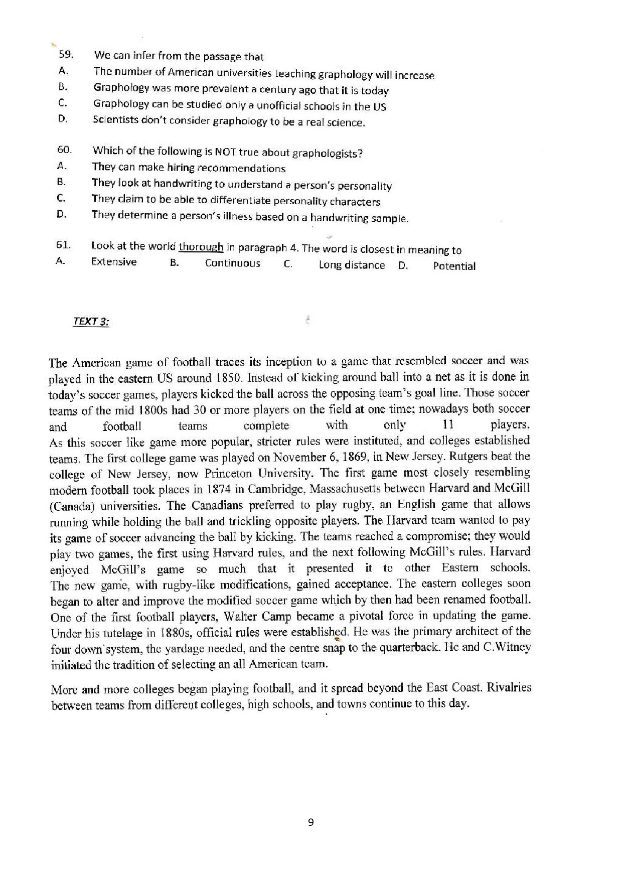
Concours d'entrée ISCAE 2011 - Anglais

  1. Concours d'accès ISCAE (Institut Supérieur de Commerce et d'Administration des Entreprises)
  2. 2011
  3. Concours d'entrée ISCAE 2011 - Anglais
Téléchargez le document
Retour
Maroc
  • Primaire
  • Collège
  • Lycée
France
  • Primaire
  • Collège
  • Lycée
Plus
  • Prépas CPGE
  • Divertissement
  • Vocabulaire
  • Connexion
  • S'inscrire
  • CGU
  • CGV
  • Contact

© 2026 AlloSchool. Tous droits réservés.

Rechercher