Retour
  • Français (1ère)
  • Accueil
  • !
  • Connexion
  • ar عربية
  • en English
  • Retour au Cours
  • Retour à la section
  • Signaler une erreur
  • 04 avril 2021

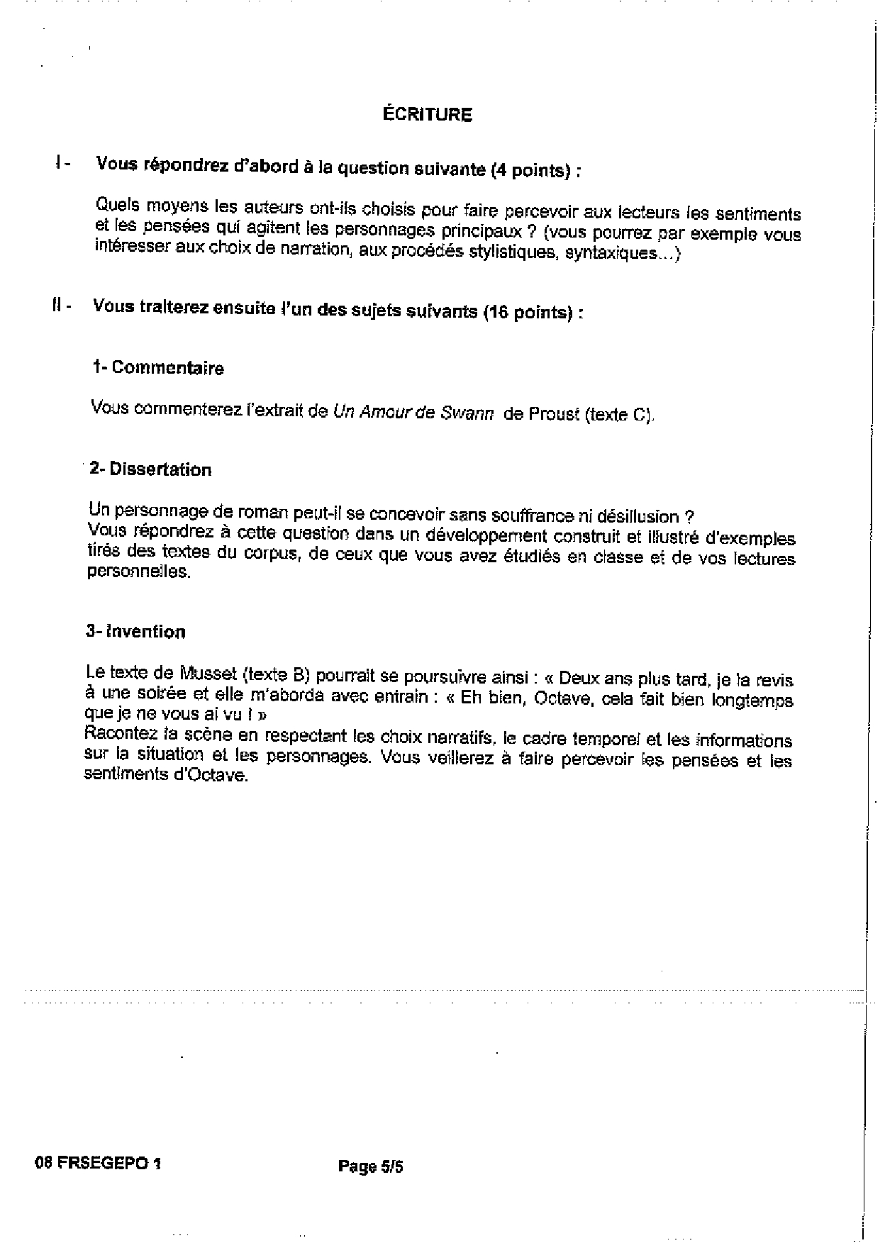
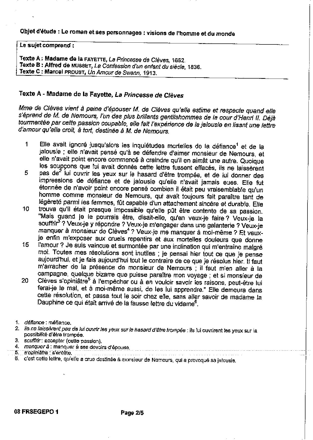
Bac S-ES Français (1ère) Polynésie 2008 - Sujet

  1. Français (1ère): Annales Bac S
  2. 2008
  3. Bac S-ES Français (1ère) Polynésie 2008 - Sujet
Téléchargez le document
Retour
Maroc
  • Primaire
  • Collège
  • Lycée
France
  • Primaire
  • Collège
  • Lycée
Plus
  • Prépas CPGE
  • Divertissement
  • Vocabulaire
  • Connexion
  • S'inscrire
  • CGU
  • CGV
  • Contact

© 2026 AlloSchool. Tous droits réservés.

Rechercher