Retour
  • Mathématiques (BIOF)
  • Accueil
  • !
  • Connexion
  • ar عربية
  • en English
  • Retour au Cours
  • Retour à la section
  • Signaler une erreur
  • 04 mai 2022

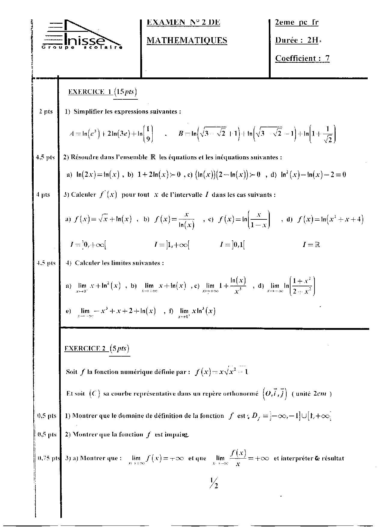
Devoir 2 Modèle 2 - Mathématiques 2 Bac SPC Semestre 1

  1. Mathématiques 2ème BAC Sciences et Technologies Mécaniques BIOF
  2. Devoirs 1er Semestre
  3. Devoir 2 Modèle 2 - Mathématiques 2 Bac SPC Semestre 1
Téléchargez le document
Retour
Maroc
  • Primaire
  • Collège
  • Lycée
France
  • Primaire
  • Collège
  • Lycée
Plus
  • Prépas CPGE
  • Divertissement
  • Vocabulaire
  • Connexion
  • S'inscrire
  • CGU
  • CGV
  • Contact

© 2026 AlloSchool. Tous droits réservés.

Rechercher