Retour
  • Mathématiques (BIOF)
  • Accueil
  • !
  • Connexion
  • ar عربية
  • en English
  • Retour au Cours
  • Retour à la section
  • Signaler une erreur
  • 27 avril 2020

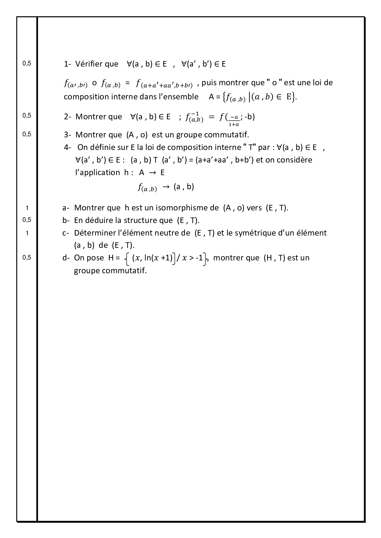
Devoir 2 Modèle 1 - Mathématiques 2 Bac SM Semestre 2

  1. Mathématiques 2ème BAC Sciences Mathématiques B BIOF
  2. Devoirs 2nd Semestre
  3. Devoir 2 Modèle 1 - Mathématiques 2 Bac SM Semestre 2
Téléchargez le document
Retour
Maroc
  • Primaire
  • Collège
  • Lycée
France
  • Primaire
  • Collège
  • Lycée
Plus
  • Prépas CPGE
  • Divertissement
  • Vocabulaire
  • Connexion
  • S'inscrire
  • CGU
  • CGV
  • Contact

© 2026 AlloSchool. Tous droits réservés.

Rechercher