Basculer la navigation
Retour
Mathématiques
Accueil
!
Connexion
عربية
English
Retour au Cours
Retour à la section
Signaler une erreur
10 avril 2021
تمارين محلولة: نهاية دالة عددية
الرياضيات: الأولى باك علوم وتكنولوجيات ميكانيكية
النهايات
تمارين محلولة: نهاية دالة عددية
1
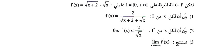
التمرين 1
الحل
2
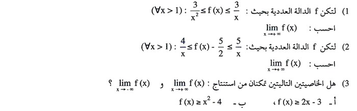
التمرين 2
الحل
3
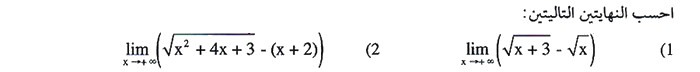
التمرين 3
الحل
4
التمرين 4
الحل
5
التمرين 5
الحل
6
التمرين 6
الحل
7
التمرين 7
الحل
8
التمرين 8
الحل
9
التمرين 9
الحل
Retour
×
Rechercher
Rechercher
Rechercher