Basculer la navigation
Retour
Mathématiques
Accueil
!
Connexion
عربية
English
Retour au Cours
Retour à la section
Signaler une erreur
11 octobre 2021
تمارين محلولة: الأعداد العقدية (الجزء الثاني)
الرياضيات: الثانية باك علوم وتكنولوجيات ميكانيكية
الأعداد العقدية (الجزء الثاني)
تمارين محلولة: الأعداد العقدية (الجزء الثاني)
1
التمرين 1
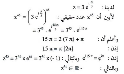
الحل
2
التمرين 2
الحل
3
التمرين 3
الحل
4
التمرين 4
الحل
5
التمرين 5
الحل
6
التمرين 6
الحل
7
التمرين 7
الحل
8
التمرين 8
الحل
9
التمرين 9
الحل
Retour
×
Rechercher
Rechercher
Rechercher