Basculer la navigation
Retour
Mathématiques
Accueil
!
Connexion
عربية
English
Retour au Cours
Retour à la section
Signaler une erreur
12 avril 2021
تمارين محلولة: المعادلات التفاضلية
الرياضيات: الثانية باك علوم وتكنولوجيات ميكانيكية
المعادلات التفاضلية
تمارين محلولة: المعادلات التفاضلية
1
التمرين 1
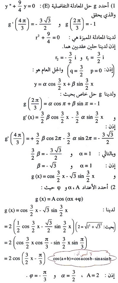
الحل
2
التمرين 2
الحل
3
التمرين 3
الحل
4
التمرين 4
الحل
5
التمرين 5
الحل
6
التمرين 6
الحل
7
التمرين 7
الحل
Retour
×
Rechercher
Rechercher
Rechercher