• 1

    Exercice 1

    Perturbation par une ligne

  • 2

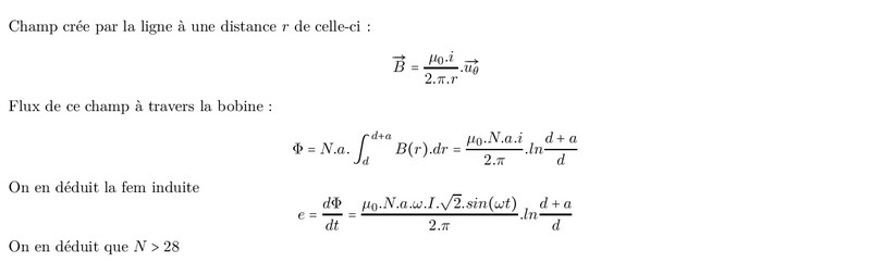
    Exercice 2

    Bobine en régime variable

  • 3

    Exercice 3

    Supraconducteur

  • 4

    Exercice 4

    Exploiter les symétries du champ électromagnétique

  • 5

    Exercice 5

    Electrocution d’une vache

  • 6

    Exercice 6

    Oscillations d’une boussole