• 1

    Exercice 1

    Equation de la diffusion

  • 2

    Exercice 2

    Longueur de diffusion

  • 3

    Exercice 3

    Coefficient de diffusion

  • 4

    Exercice 4

    Partage de l’iode entre deux solvants

  • 5

    Exercice 5

    Solution de l’équation en régime transitoire

  • 6

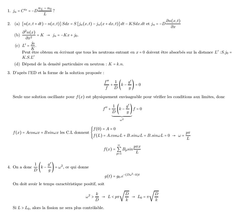
    Exercice 6

    Fission nucléaire

  • 7

    Exercice 7

    Diffusion dans un tuyau poreux

  • 8

    Exercice 8

    Temps d’évaporation

  • 9

    Exercice 9

    diffusion dans un semi-conducteur