
Mathématiques : 3ème Année Collège
Séance 3 (Racines carrées)
Professeur : Mr BENGHANI Youssef
Sommaire
I- La racine carrée d’un nombre réel positif
1-1/ Définition
1-2/ Propriété (Le carré d’une racine carrée)
1-3/ Remarques importantes
II- Résolution de l’équation
2-1/
2-2/
2-3/
III- Les opérations sur les racines carrées
3-1/ Produit de deux racines carrées
3-2/ Quotient de deux racines carrées
3-3/ Rendre un dénominateur rationnel ou supprimer le radical au dénominateur
IV- Exercices
4-1/ Exercice 1
4-2/ Exercice 2
4-3/ Exercice 3
4-4/ Exercice 4
4-5/ Exercice 5
4-6/ Exercice 6
I- La racine carrée d’un nombre réel positif
1-1/ Définition
Soit un nombre réel positif ou nul ( c'est-a-dire ).
La racine carrée de est le nombre réel positif dont le carré est égale à , elle est notée .
Le symbole s'appelle : symbole radical.
1-2/ Propriété (Le carré d’une racine carrée)
Soit a un nombre réel tel que a> 0.
Exemple
I- La racine carrée d’un nombre réel positif
1-3/ Remarques importantes
La racine carrée d’un nombre négatif n’existe pas ( n’existe pas) .
La racine carrée d’un nombre n’est jamais égale à un nombre négatif .
L’opposé de (avec ) est . (L’opposé de est ) .
et
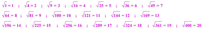
1-4/ Les racines carrées parfaites

II- Résolution de l’équation
2-1/
L’équation est respectivement équivalente à :
Donc cette équation admet deux solutions: et .
2-2/
L’équation est respectivement équivalente à : , ce qui signifie que .
Donc cette équation admet pour solution le nombre 0.
2-3/
L’équation n’admet pas de solution.
III- Les opérations sur les racines carrées
3-1/ Produit de deux racines carrées
Propriété
Soient a et b deux nombres réels positifs.
Exemple
Extraire un carré parfait
Soient a et b deux nombres réels positifs non nuls.
Exemple
III- Les opérations sur les racines carrées
3-2/ Quotient de deux racines carrées
Propriété
Soient a et b deux nombres réels tels que et .
Exemple
III- Les opérations sur les racines carrées
3-3/ Rendre un dénominateur rationnel ou supprimer le radical au dénominateur
Propriété 1
Soient a et b et k deux nombres réels tels que b> 0.
Exemple
Propriété 2 (Expression du conjugué)
Pour supprimer le radical au dénominateur, on multiplie le numérateur et le dénominateur par le conjugué du dénominateur.
Le conjugué de a- b est a+b, et le conjugué de a+b est a- b.
Exemple
IV- Exercices
4-1/ Exercice 1
Calculer:
IV- Exercices
4-2/ Exercice 2
Simplifier sous la forme de tel que et sont des nombres réels et :
IV- Exercices
4-3/ Exercice 3
- Simplifier sous la forme de tel que et sont des nombres réels et :
- Calculer :
IV- Exercices
4-4/ Exercice 4
Résoudre les équations suivantes :
IV- Exercices
4-5/ Exercice 5
- Simplifier les expressions suivantes :
- Écrire les quotients suivants sans radical au dénominateur :
IV- Exercices
4-6/ Exercice 6
On pose :
- Montrer que
- Déduire
- Calculer
- Calculer
- Calculer