Retour
  • Économie générale et Statistiques
  • Accueil
  • !
  • Connexion
  • ar عربية
  • en English
  • Retour au Cours
  • Retour à la section
  • Signaler une erreur
  • 28 novembre 2019

Devoir 2 Modèle 5 - Statistiques 1 Bac Eco Semestre 1

  1. Economie Générale et Statistiques: 1er BAC Sciences Économiques et Gestion
  2. Devoirs 1er Semestre
  3. Devoir 2 Modèle 5 - Statistiques 1 Bac Eco Semestre 1
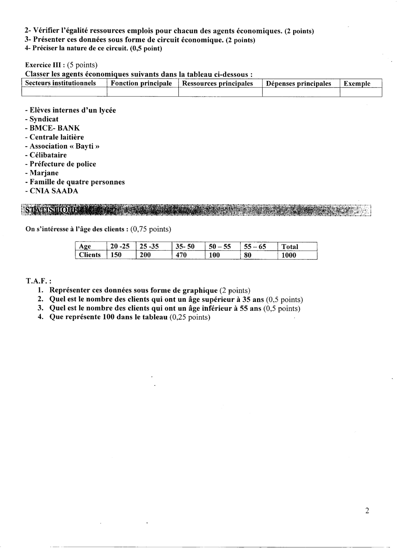
Téléchargez le document
Retour
Maroc
  • Primaire
  • Collège
  • Lycée
France
  • Primaire
  • Collège
  • Lycée
Plus
  • Prépas CPGE
  • Divertissement
  • Vocabulaire
  • Connexion
  • S'inscrire
  • CGU
  • CGV
  • Contact

© 2026 AlloSchool. Tous droits réservés.

Rechercher