Retour
  • Allemand
  • Accueil
  • !
  • Connexion
  • ar عربية
  • en English
  • Retour au Cours
  • Retour à la section
  • Signaler une erreur
  • 21 avril 2019

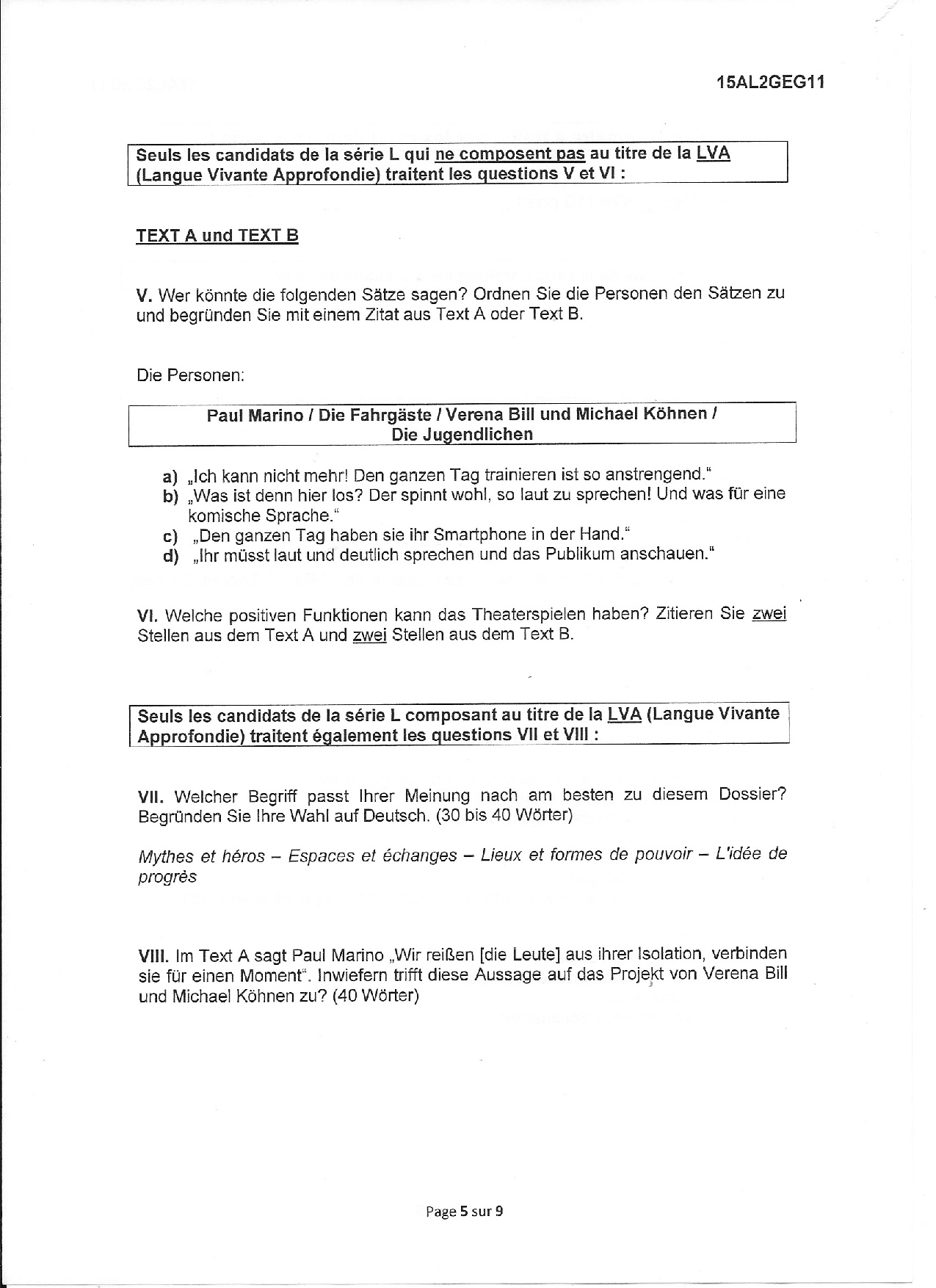
Bac S-ES-L Allemand LV2 Centres Etrangers Afrique 2015 - Sujet

  1. Allemand: Annales Bac L
  2. 2015
  3. Bac S-ES-L Allemand LV2 Centres Etrangers Afrique 2015 - Sujet
Téléchargez le document
Retour
Maroc
  • Primaire
  • Collège
  • Lycée
France
  • Primaire
  • Collège
  • Lycée
Plus
  • Prépas CPGE
  • Divertissement
  • Vocabulaire
  • Connexion
  • S'inscrire
  • CGU
  • CGV
  • Contact

© 2026 AlloSchool. Tous droits réservés.

Rechercher