Retour
  • Mathématiques
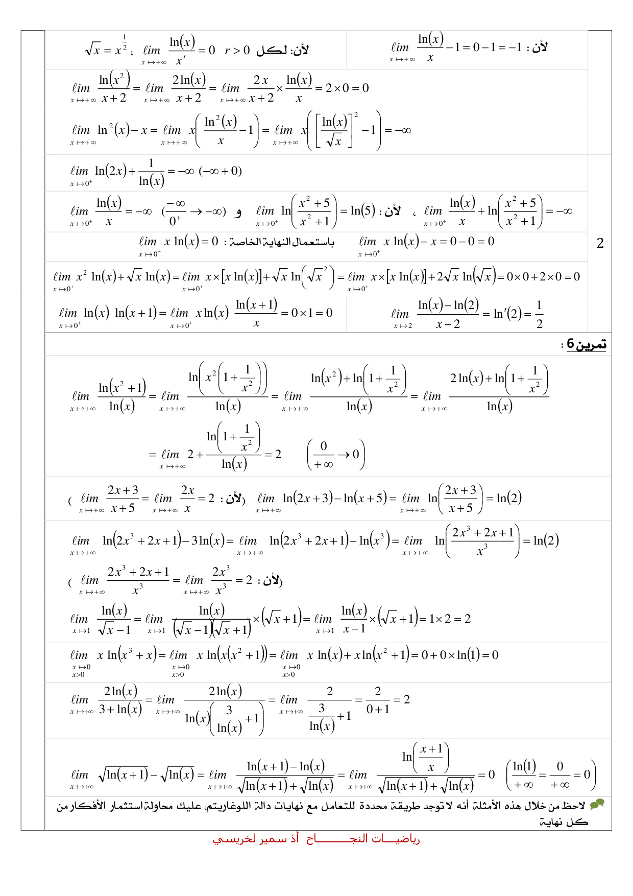
  • Accueil
  • !
  • Connexion
  • ar عربية
  • en English
  • Retour au Cours
  • Retour à la section
  • Signaler une erreur
  • 12 avril 2021

الدوال اللوغاريتمية - تصحيح سلسلة التمارين 3

  1. الرياضيات: الثانية باك علوم وتكنولوجيات ميكانيكية
  2. الدوال اللوغاريتمية
  3. الدوال اللوغاريتمية - تصحيح سلسلة التمارين 3
Téléchargez le document
Retour
Maroc
  • Primaire
  • Collège
  • Lycée
France
  • Primaire
  • Collège
  • Lycée
Plus
  • Prépas CPGE
  • Divertissement
  • Vocabulaire
  • Connexion
  • S'inscrire
  • CGU
  • CGV
  • Contact

© 2026 AlloSchool. Tous droits réservés.

Rechercher