• 1

    Exercice 1

    Déport d’un camion

  • 2

    Exercice 2

    Arrachement d’une serre

  • 3

    Exercice 3

    Ondes de gravité

  • 4

    Exercice 4

    Forces volumiques de cisaillement

  • 5

    Exercice 5

    Mesure d’une vitesse moyenne d’écoulement

  • 6

    Exercice 6

    Transfusion sanguine

  • 7

    Exercice 7

    Forme d’un jet d’eau

  • 8

    Exercice 8

    Ecoulement de Poiseuille plan

  • 9

    Exercice 9

    Perte de charge

  • 10

    Exercice 10

    Mesure de la vitesse du son

  • 11

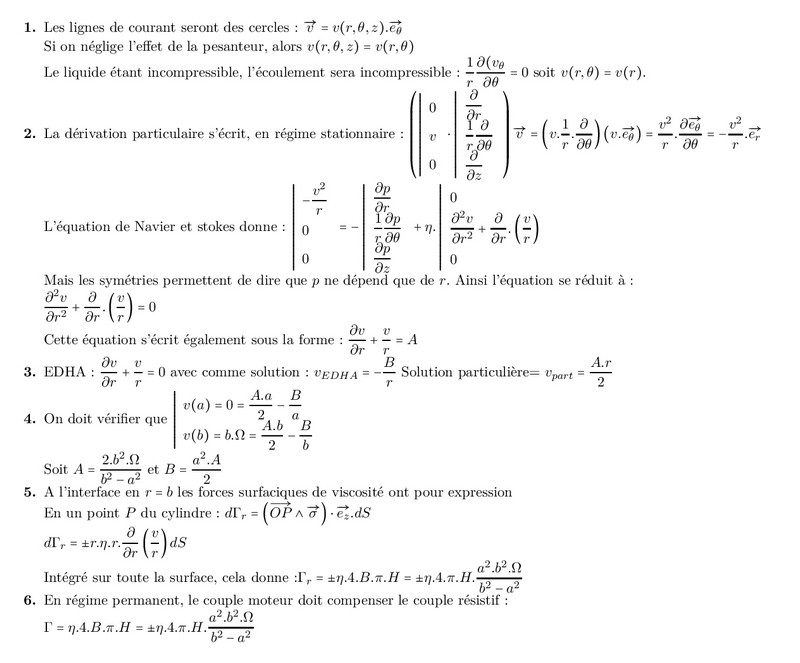
    Exercice 11

    Viscosimètre de Couette

  • 12

    Exercice 12

    Vidange d’un réservoir par un conduit

  • 13

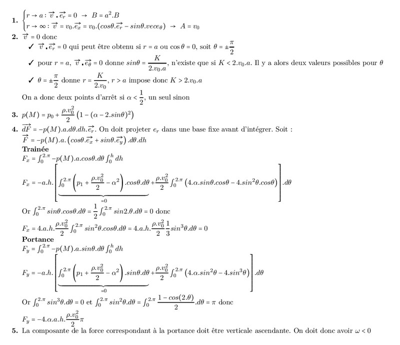
    Exercice 13

    Portance d’une aile d’avion

  • 14

    Exercice 14

    Température au centre du soleil