Basculer la navigation
Retour
Mathématiques
Accueil
!
Connexion
عربية
English
Retour au Cours
Retour à la section
Signaler une erreur
10 avril 2021
تمارين محلولة: المتتاليات العددية
الرياضيات: الأولى باك علوم تجريبية
المتتاليات العددية
تمارين محلولة: المتتاليات العددية
1
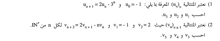
التمرين 1
الحل
2
التمرين 2
الحل
3
التمرين 3
الحل
4
التمرين 4
الحل
5
التمرين 5
الحل
6
التمرين 6
الحل
7
التمرين 7
الحل
8
التمرين 8
الحل
9
التمرين 9
الحل
10
التمرين 10
الحل
Retour
×
Rechercher
Rechercher
Rechercher