Basculer la navigation
Retour
Mathématiques
Accueil
!
Connexion
عربية
English
Retour au Cours
Retour à la section
Signaler une erreur
12 avril 2021
تمارين محلولة: الدوال اللوغاريتمية
الرياضيات: الثانية باك علوم فيزيائية
الدوال اللوغاريتمية
تمارين محلولة: الدوال اللوغاريتمية
1
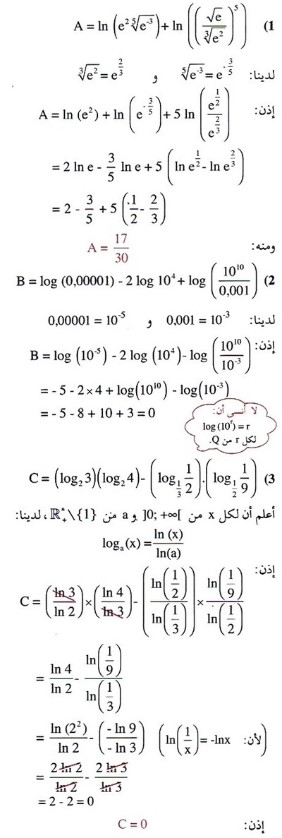
التمرين 1
الحل
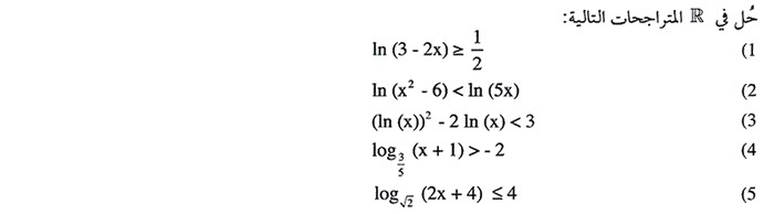
2
التمرين 2
الحل
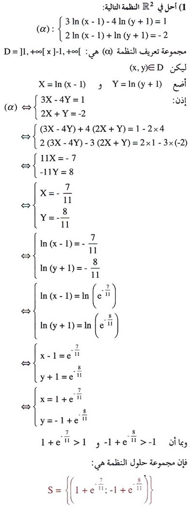
3
التمرين 3
الحل
4
التمرين 4
الحل
5
التمرين 5
الحل
6
التمرين 6
الحل
7
التمرين 7
الحل
Retour
×
Rechercher
Rechercher
Rechercher