• 1

    Exercice 1

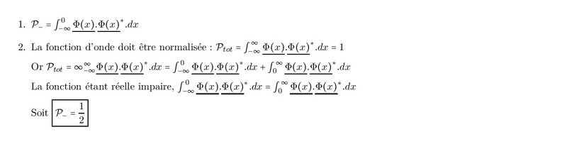
    Normalisation d’une fonction d’onde

  • 2

    Exercice 2

    Distribution de probabilité pour l’atome d’hydrogène

  • 3

    Exercice 3

    Microscopie électronique

  • 4

    Exercice 4

    Onde de de Broglie

  • 5

    Exercice 5

    Manifestation d’un état quantique

  • 6

    Exercice 6

    Fonction d’onde stationnaire

  • 7

    Exercice 7

    Etalement d’un paquet d’onde

  • 8

    Exercice 8

    Effet Tunnel

  • 9

    Exercice 9

    Marche de potentiel

  • 10

    Exercice 10

    Noyau de l’atome d’hydrogène

  • 11

    Exercice 11

    Délocalisation électronique