• 1

    Exercice 1

    Détente d’un fluide avec changement d’état

  • 2

    Exercice 2

    Changement d’état isochore

  • 3

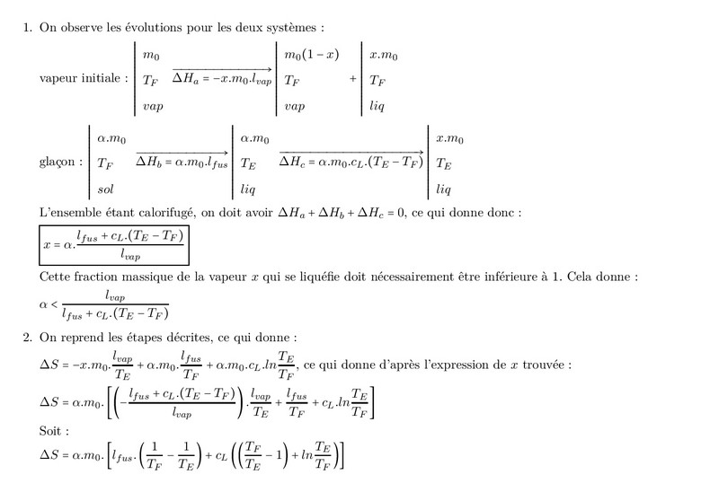
    Exercice 3

    Fonte d’un glaçon

  • 4

    Exercice 4

    Mélange diphasé de l’eau