Basculer la navigation
Retour
Mathématiques
Accueil
!
Connexion
عربية
English
Retour au Cours
Retour à la section
Signaler une erreur
28 septembre 2020
تمارين محلولة: المعادلات والمتراجحات المثلثية
الرياضيات: الجذع المشترك تكنولوجي
الحساب المثلثي 2 (المعادلات والمتراجحات المثلثية)
تمارين محلولة: المعادلات والمتراجحات المثلثية
1
التمرين 1
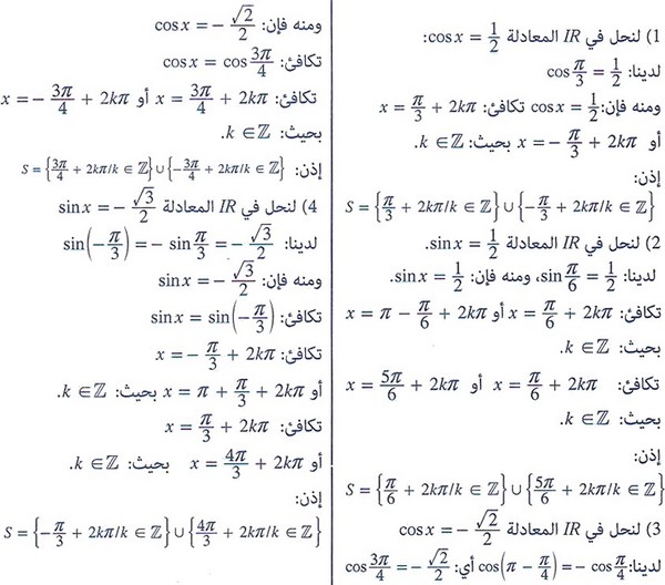
الحل
2
التمرين 2
الحل
3
التمرين 3
الحل
4
التمرين 4
الحل
5
التمرين 5
الحل
6
التمرين 6
الحل
7
التمرين 7
الحل
Retour
×
Rechercher
Rechercher
Rechercher