Basculer la navigation
Retour
Mathématiques
Accueil
!
Connexion
عربية
English
Retour au Cours
Retour à la section
Signaler une erreur
28 septembre 2020
تمارين محلولة: قواعد في الحساب المثلثي
الرياضيات: الجذع المشترك علوم
الحساب المثلثي 1 (قواعد في الحساب المثلثي)
تمارين محلولة: قواعد في الحساب المثلثي
1
التمرين 1
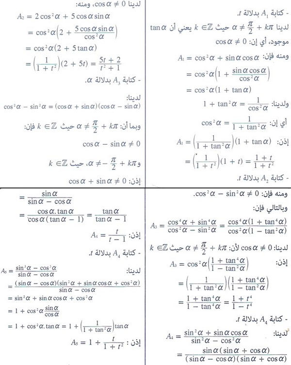
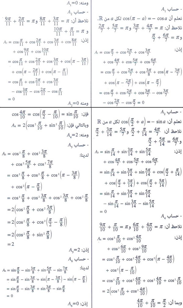
الحل
2
التمرين 2
الحل
3
التمرين 3
الحل
4
التمرين 4
الحل
5
التمرين 5
الحل
6
التمرين 6
الحل
7
التمرين 7
الحل
8
التمرين 8
الحل
9
التمرين 9
الحل
10
التمرين 10
الحل
Retour
×
Rechercher
Rechercher
Rechercher