Retour
  • Physique et Chimie
  • Accueil
  • !
  • Connexion
  • ar عربية
  • en English
  • Retour au Cours
  • Retour à la section
  • Signaler une erreur
  • 20 mars 2019

Mines-Ponts MP 2002 Physique 1 Corrigé

  1. Concours Physique et Chimie MP
  2. Concours Commun Mines Ponts (CCMP)
  3. Mines-Ponts MP 2002 Physique 1 Corrigé
Téléchargez le document
Retour
Maroc
  • Primaire
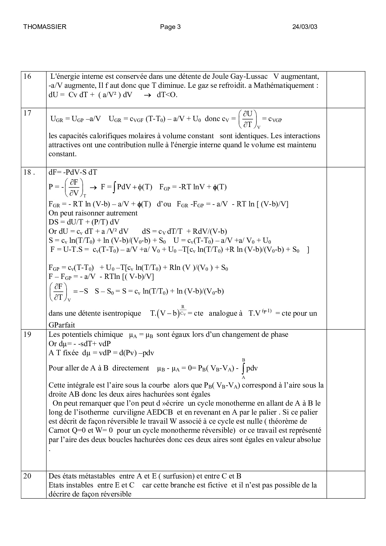
  • Collège
  • Lycée
France
  • Primaire
  • Collège
  • Lycée
Plus
  • Prépas CPGE
  • Divertissement
  • Vocabulaire
  • Connexion
  • S'inscrire
  • CGU
  • CGV
  • Contact

© 2026 AlloSchool. Tous droits réservés.

Rechercher