Retour
  • Physique et Chimie (BIOF)
  • Accueil
  • !
  • Connexion
  • ar عربية
  • en English
  • Retour au Cours
  • Retour à la section
  • Signaler une erreur
  • 28 octobre 2020

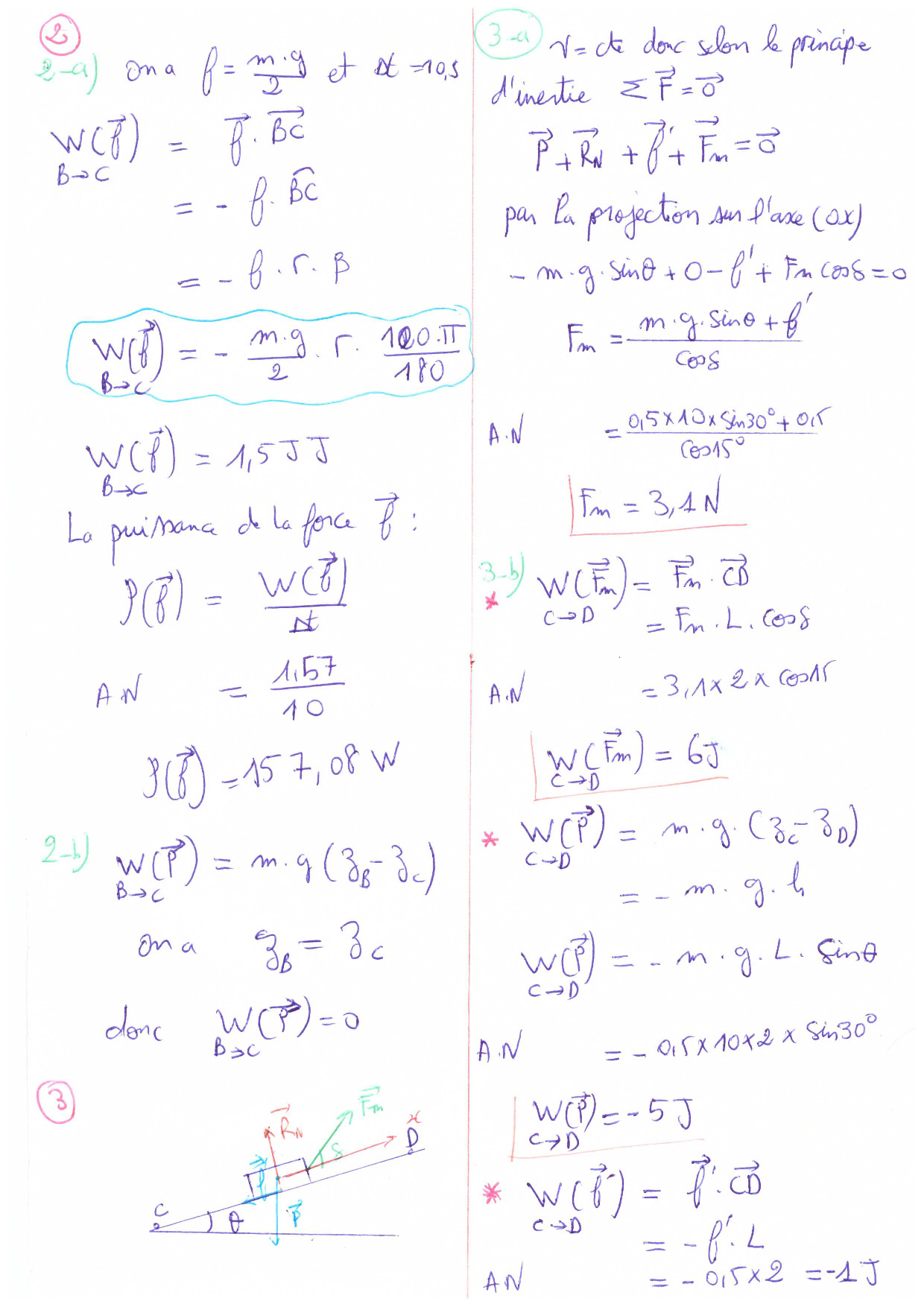
Devoir 1 Modèle 3 - Physique Chimie 1er Bac Semestre 1 (Corrigé)

  1. Physique et Chimie 1er BAC Sciences et Technologies Electriques BIOF
  2. Devoirs 1er semestre
  3. Devoir 1 Modèle 3 - Physique Chimie 1er Bac Semestre 1 (Corrigé)
Téléchargez le document
Retour
Maroc
  • Primaire
  • Collège
  • Lycée
France
  • Primaire
  • Collège
  • Lycée
Plus
  • Prépas CPGE
  • Divertissement
  • Vocabulaire
  • Connexion
  • S'inscrire
  • CGU
  • CGV
  • Contact

© 2026 AlloSchool. Tous droits réservés.

Rechercher