Retour
  • Mathématiques (Spécifique)
  • Accueil
  • !
  • Connexion
  • ar عربية
  • en English
  • Retour au Cours
  • Retour à la section
  • Signaler une erreur
  • 04 avril 2021

2ème Bac blanc 2017 - Corrigé

  1. Mathématiques: Terminale S (Spécifique)
  2. 2nd Bac blanc: Epreuves corrigés
  3. 2ème Bac blanc 2017 - Corrigé
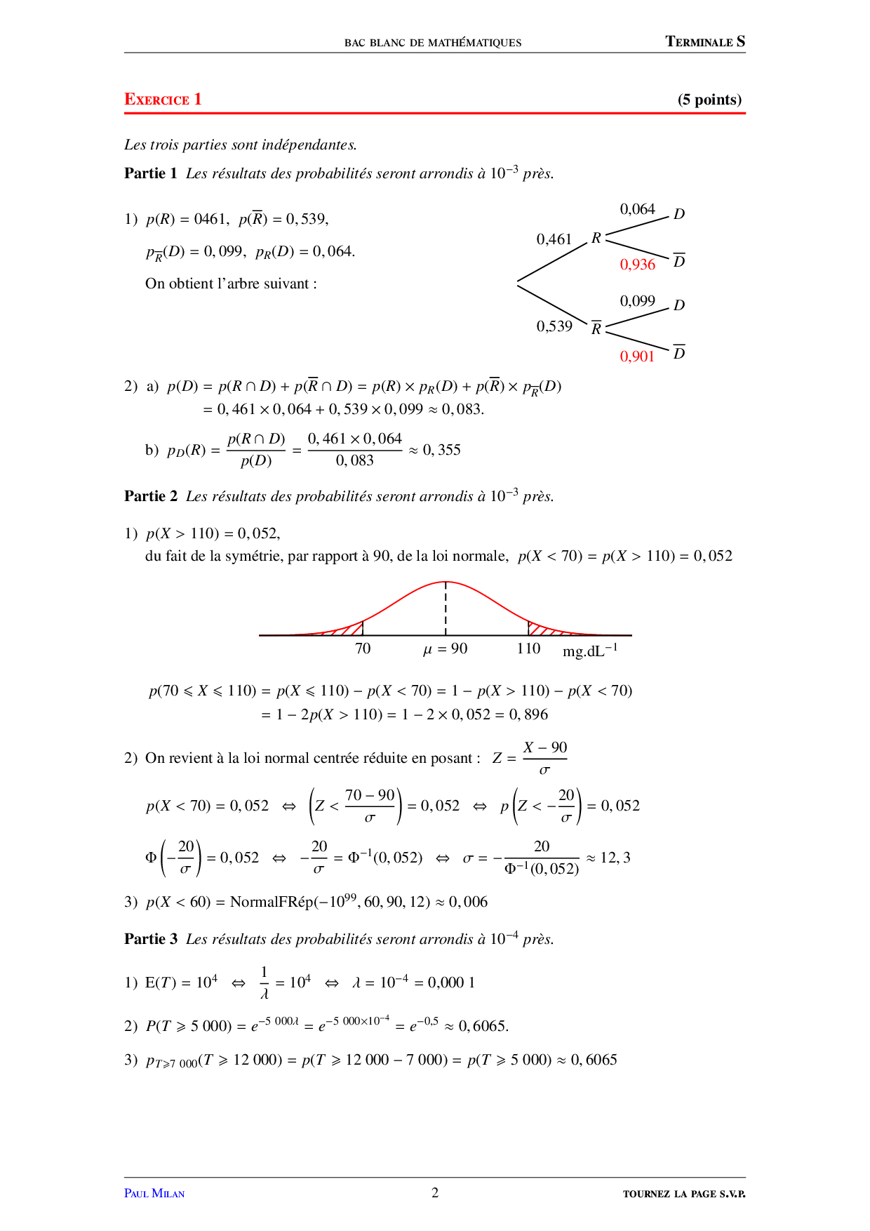
Téléchargez le document
Retour
Maroc
  • Primaire
  • Collège
  • Lycée
France
  • Primaire
  • Collège
  • Lycée
Plus
  • Prépas CPGE
  • Divertissement
  • Vocabulaire
  • Connexion
  • S'inscrire
  • CGU
  • CGV
  • Contact

© 2025 AlloSchool. Tous droits réservés.

Rechercher