Retour
  • Mathématiques
  • Accueil
  • !
  • Connexion
  • ar عربية
  • en English
  • Retour au Cours
  • Retour à la section
  • Signaler une erreur
  • 10 avril 2021

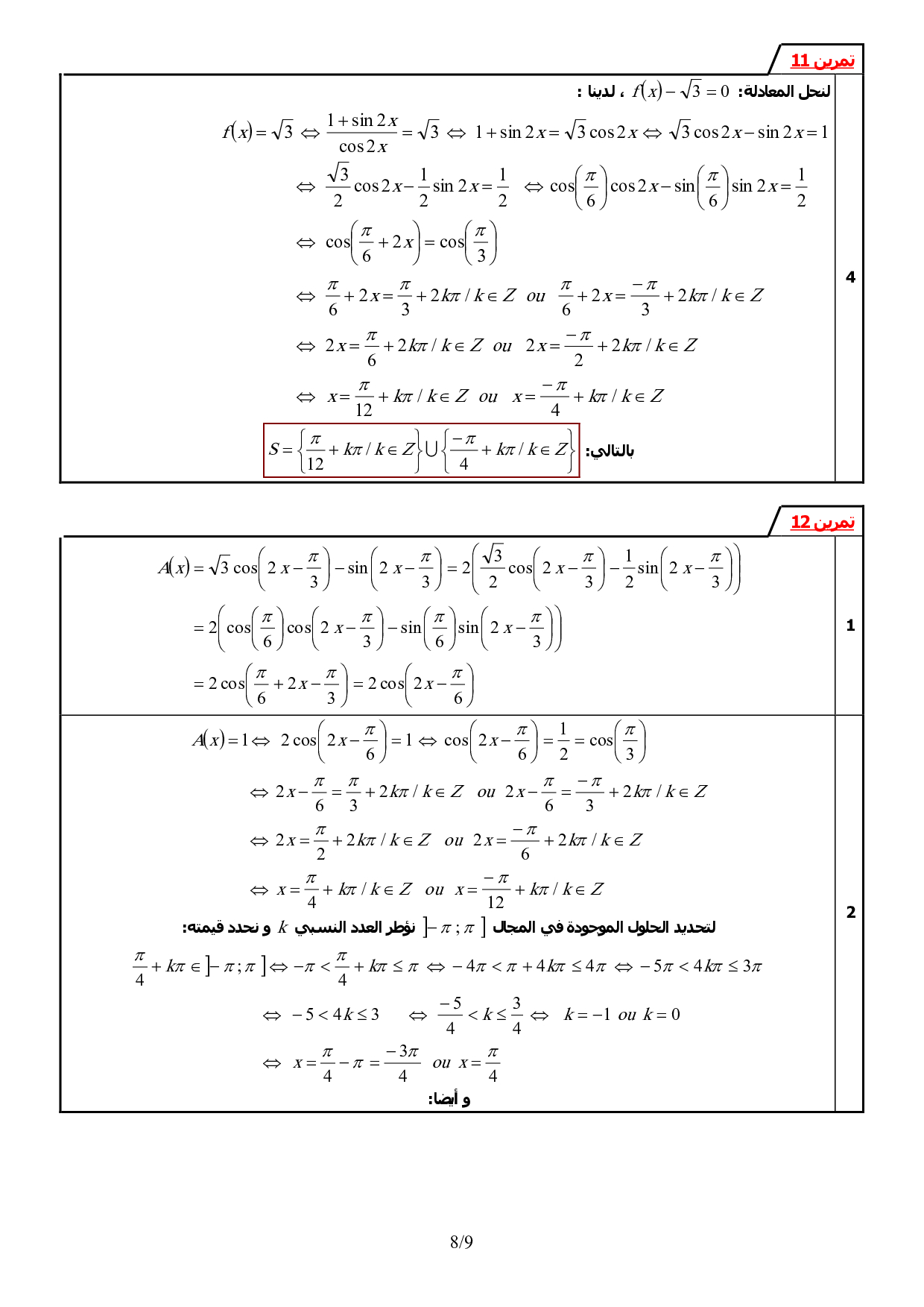
الحساب المثلثي - تصحيح سلسلة التمارين 4

  1. الرياضيات: الأولى باك علوم وتكنولوجيات ميكانيكية
  2. الحساب المثلثي
  3. الحساب المثلثي - تصحيح سلسلة التمارين 4
Téléchargez le document
Retour
Maroc
  • Primaire
  • Collège
  • Lycée
France
  • Primaire
  • Collège
  • Lycée
Plus
  • Prépas CPGE
  • Divertissement
  • Vocabulaire
  • Connexion
  • S'inscrire
  • CGU
  • CGV
  • Contact

© 2026 AlloSchool. Tous droits réservés.

Rechercher